注射用盐酸吉西他滨

通用名称:注射用盐酸吉西他滨

英文名称:Gemcitabine Hydrochloride for Injection

汉语拼音:Zhusheyong Yansuan Jixitabin


注射用盐酸吉西他滨
  • 产品介绍
  • 立即下载

【药品名称】

通用名称:注射用盐酸吉西他滨

英文名称:Gemcitabine Hydrochloride for Injection

汉语拼音:Zhusheyong Yansuan Jixitabin


【成份】

活性成份:盐酸吉西他滨

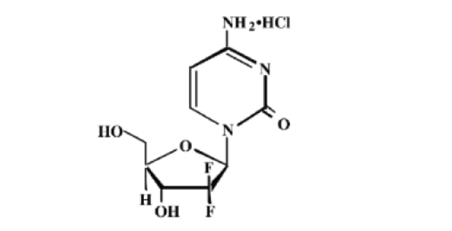
化学名称:2'-脱氧-2',2'-二氟胞苷(β-异构体)盐酸盐

化学结构式:注射用盐酸吉西他滨

注射用盐酸吉西他滨


分子式:C9H11F2N3O4·HCl

分子量:299.66

辅料:甘露醇、无水醋酸钠、盐酸、氢氧化钠。


【性状】

本品为白色疏松块状物或粉末

【适应症】

本品可用于治疗以下疾病:

-局部晚期或已转移的非小细胞肺癌;

-本品联合信迪利单抗和铂类化疗适用于不可手术切除的局部晚期或转移性鳞状非小细胞肺癌的一线治疗;

-局部晚期或已转移的胰腺癌;

-吉西他滨与紫杉醇联合,可用于治疗经辅助/新辅助化疗后复发,不能切除的、局部复发或转移性乳腺癌。除

非临床上有禁忌,否则既往化疗中应使用过蒽环类抗生素。


【规格】

按C9H11F2N3O4计 (1)0.2g (2)1.0g

【用法用量】

仅具有抗癌化疗药物使用资格的医生才可开具吉西他滨处方。