注射用替考拉宁

注射用替考拉宁

注射用替考拉宁
  • 产品介绍
  • 立即下载

【药品名称】

注射用替考拉宁

【成份】

本品主要成份为替考拉宁。

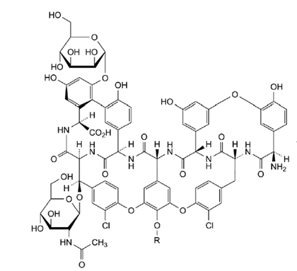
化学结构式:

注射用替考拉宁


注射用替考拉宁

本品辅料为氯化钠、氢氧化钠。

【性状】

本品为类白色至淡黄色的疏松冻干块状物和粉末。

【适应症】

本品可用于治疗各种严重的革兰阳性菌感染,包括不能用青霉素类和头孢菌素类其他抗生素者。本品可用于不能用青霉素类及头孢菌素类抗生素治疗或用上述抗生素治疗失败的严重葡萄球菌感染,或对其他抗生素耐药的葡萄球菌感染。

已证明替考拉宁对下列感染有效:皮肤和软组织感染,泌尿道感染,呼吸道感染,败血症及持续不卧床腹膜透析相关性腹膜炎。

在骨科手术具有革兰阳性菌感染的高危因素时,本品也可作预防用。

在适当情况下,本品可与其他抗菌药物联合给药。

应考虑抗菌药物合理用药的官方指南。


【规格】

(1)0.2g(20万单位)? ?(2)0.4g(40万单位)

【用法用量】

给药方法?

替考拉宁可通过静脉注射或肌肉注射给药。可通过3~5分钟推注或30分钟输液进行静脉注射给药。新生儿应采用输液给药。

治疗剂量

应根据感染基础类型和严重程度以及患者的临床应答和患者因素(如年龄和肾功能)调整剂量和治疗持续时间。

具体信息详见产品说明书。